(English Below)
Esta es una de esas columnas que me queman por dentro. Como editor de Atanathos, he visto cómo nuestra «escena» —ese espacio que solía ser de hermandad, fanzines fotocopiados y verdades incómodas— se ha convertido en una granja de clics donde la integridad se sacrifica en el altar de Google y Facebook.
Hoy me pongo frente al teclado para diseccionar la enfermedad que está matando el periodismo musical: el clickbait. Vamos a hablar de por qué las webs que solías respetar ahora te tratan como a un ratón en un laberinto, escondiendo nombres, exagerando tragedias y vendiéndote humo.
Hace veinte años, si querías saber quién era el nuevo cantante de tu banda favorita, esperabas a que llegara la revista al quiosco o entrabas en un foro donde la información volaba libre. Hoy, navegas por tu feed y te encuentras con esto: «Este legendario vocalista de los 80 confiesa su mayor arrepentimiento antes de morir». Pinchas. Te tragas tres anuncios intrusivos. Lees 400 palabras de relleno. Y al final, resulta que es una frase sacada de contexto de una entrevista de 1994.
Como consumidor, me duele admitirlo: nos están manipulando. Pero para combatir al enemigo, primero hay que entender su manual de estrategia.
I. La economía del hambre: ¿Por qué lo hacen?
No es que los redactores de las grandes webs de metal (no daré nombres, pero todos sabemos a quiénes me refiero) sean personas malvadas que odian la música. Es una cuestión de pura supervivencia económica.
La mayoría de los sitios de noticias de metal viven de la publicidad programática. Esto significa que cobran por cada mil impresiones de un anuncio. En 2026, los anunciantes pagan cada vez menos. Para que una web sea rentable y pueda pagar sus servidores y a sus redactores (muchas veces mal pagados), necesitan un volumen de tráfico masivo.
Si una noticia honesta con el título «James Hetfield habla sobre su nueva guitarra» atrae a 5,000 personas, una noticia con el título «Hetfield confiesa la oscura verdad tras su instrumento» atraerá a 50,000. Matemáticamente, para la empresa, la segunda opción es diez veces más valiosa, aunque sea éticamente cuestionable.
Los algoritmos de redes sociales castigan la «normalidad». Si publicas un enlace con toda la información en el título, el usuario lo lee, le da «like» y sigue bajando. El algoritmo interpreta que ese post no tiene «engagement» porque nadie pinchó. Si escondes la información, obligas al clic, y eso le dice a Facebook: «Ey, este contenido interesa».
II. Anatomía del engaño: Las tácticas más sucias
En Atanathos hemos clasificado las tres técnicas de clickbait más utilizadas en la prensa metálica actual:
1. El «Nombre Secuestrado»
Es el clásico: «Guitarrista de una de las bandas más grandes del Big 4 critica a sus compañeros». No ponen el nombre para que pinches.
2. El «Susto de Salud»
Utilizar la edad de nuestras leyendas para generar pánico. Titulares como «Preocupación por el estado de salud de Ozzy Osbourne tras su última aparición» cuando en realidad solo ha salido a comprar el pan y camina un poco lento (como cualquier persona de su edad). Es una táctica buitre que juega con los sentimientos de los fans.
3. La Cita Sacada de Contexto
Toman una frase de una entrevista de una hora, la recortan y la convierten en una declaración de guerra.
Realidad: «Me gusta el nuevo disco de Ghost, aunque prefiero los primeros».
Clickbait: «Este icono del Black Metal destroza a Tobias Forge: ‘No es auténtico'».
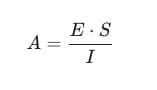
III. La ciencia tras el Clic: El «Curiosity Gap»
¿Por qué caemos? Hay una base neurocientífica. El ser humano tiene algo llamado Curiosity Gap (Brecha de Curiosidad). Cuando el titular nos da un 80% de la información pero nos oculta el 20% vital, nuestro cerebro genera una pequeña dosis de dopamina que solo se calma al cerrar la brecha. Es una respuesta biológica explotada por expertos en marketing.
Podemos representar la «fuerza de atracción» de un titular mediante una fórmula simplificada:

Donde:
A es la Atracción (clics).
E es la Emoción (miedo, ira, sorpresa).
S es el Sensacionalismo.
I es la Información proporcionada en el título (a menor información, mayor es el resultado de la fracción).
IV. Comparativa: El periodismo de Metal (Real vs. Clickbait)
| Característica | Periodismo Real | Periodismo de Clickbait |
| Objetivo | Informar y analizar. | Generar tráfico a toda costa. |
| Titular | «Behemoth anuncia gira por España en 2026» | «Nergal revela lo que nadie esperaba sobre sus próximos conciertos» |
| Contenido | Datos técnicos, fechas, contexto. | 3 párrafos de relleno y la noticia al final. |
| Fuente | Entrevista propia o contrastada. | «Refritos» de otras webs. |
V. El impacto en la escena: La pérdida de confianza
Este es el punto que más me preocupa. El clickbait no es inocuo; tiene consecuencias graves:
Fatiga del Lector: El fan se cansa de ser engañado y deja de leer noticias de metal, perdiendo el interés incluso en las bandas que realmente valen la pena.
Desinformación: Mucha gente solo lee el titular y se queda con una idea falsa. Así nacen los odios infundados entre bandas.
Muerte del Análisis: Ya no se escriben reseñas profundas de 2000 palabras porque «no rinden». Se prefieren 10 noticias basura de 150 palabras.
VI. ¿Cómo podemos luchar contra esto?
Como lectores, tenéis más poder del que creéis. El «voto» en internet es el clic.
No pinches: Si el titular oculta el nombre, busca la noticia en otra web honesta.
Lee los comentarios: A menudo, algún «héroe sin capa» pone el nombre del grupo en los comentarios del post de Facebook. Léelo y sigue bajando.
Apoya los medios de nicho: Suscríbete a newsletters o webs que funcionen mediante donaciones o suscripciones, donde el lector es el cliente y no el producto.
La Resistencia de Atanathos
En Atanathos, hemos tomado una decisión radical para este 2026: Preferimos mil lectores reales que un millón de clics accidentales. No vamos a ocultar nombres en los títulos. No vamos a inventarnos peleas entre bandas para ganar un par de euros en publicidad. Creemos que el metal extremo merece un respeto extremo. La música es sagrada, y tratarla como una mercancía barata para alimentar un algoritmo de Silicon Valley es, sencillamente, una traición a todo lo que defendemos.
El periodismo de metal debe ser un espejo de la música: crudo, directo y sin concesiones. Si un grupo saca un disco malo, lo diremos. Si un grupo hace algo increíble, te daremos todos los datos en el primer párrafo. Porque al final del día, cuando los servidores se apaguen y los algoritmos cambien, solo quedará la música y la verdad que escribimos sobre ella.
This is one of those columns that burns me up inside. As the editor of Atanathos, I have watched our «scene»—a space once defined by brotherhood, photocopied fanzines, and uncomfortable truths—turn into a click farm where integrity is sacrificed on the altar of Google and Facebook.
Today, I’m sitting at my keyboard to dissect the disease killing music journalism: clickbait. We are going to talk about why the websites you used to respect now treat you like a mouse in a maze, hiding names, exaggerating tragedies, and selling you smoke.
Twenty years ago, if you wanted to know who the new singer of your favorite band was, you waited for the magazine to hit the newsstand or logged onto a forum where information flowed freely. Today, you browse your feed and find this: «This legendary 80s vocalist confesses his biggest regret before dying.» You click. You swallow three intrusive ads. You read 400 words of filler. And in the end, it turns out to be a quote taken out of context from a 1994 interview.
As a consumer, it hurts to admit: we are being manipulated. But to fight the enemy, we must first understand their playbook.
I. The hunger economy: Why do they do it?
It’s not that the editors of major metal sites (I won’t name names, but we all know who they are) are evil people who hate music. It is a matter of pure economic survival.
Most metal news sites rely on programmatic advertising. This means they get paid for every thousand ad impressions. In 2026, advertisers are paying less and less. For a website to be profitable and pay its servers and writers (who are often underpaid), they need massive traffic volume.
If an honest news piece titled «James Hetfield talks about his new guitar» attracts 5,000 people…
A piece titled «Hetfield confesses the dark truth behind his instrument» will attract 50,000.
Mathematically, for the company, the second option is ten times more valuable, even if it is ethically questionable. Social media algorithms punish «normality.» If you post a link with all the info in the title, the user reads it, «likes» it, and keeps scrolling. The algorithm interprets this as having no «engagement» because no one clicked. By hiding the info, you force the click, telling Facebook: «Hey, people are interested in this content.»
II. Anatomy of deception: The dirtiest tactics
At Atanathos, we have classified the three most used clickbait techniques in today’s metal press:
The «Hijacked Name»: The classic «Guitarist from one of the Big 4’s biggest bands criticizes his bandmates.» They leave out the name so you’ll click.
The «Health Scare»: Exploiting the age of our legends to generate panic. Headlines like «Concern for Ozzy Osbourne’s health after his latest appearance» when he actually just went out to buy bread and is walking a bit slow (like anyone his age). It’s a vulture tactic that plays with fans’ emotions.
The Out-of-Context Quote: They take one sentence from a one-hour interview, crop it, and turn it into a declaration of war.
Reality: «I like the new Ghost record, though I prefer the early ones.»
Clickbait: «This Black Metal icon trashes Tobias Forge: ‘He isn’t authentic’.»
III. The science behind the click: The «Curiosity Gap»
Why do we fall for it? There is a neuroscientific basis. Humans have something called the Curiosity Gap. When a headline gives us 80% of the information but hides the vital 20%, our brain generates a small dose of dopamine that is only soothed by «closing the gap.» It is a biological response exploited by marketing experts.
We can represent the «attraction force» of a headline using a simplified formula:

Where:
A is Attraction (clicks).
E is Emotion (fear, anger, surprise).
S is Sensationalism.
I is Information provided in the title (the less info, the higher the resulting fraction).
IV. Comparison: Metal journalism (Real vs. Clickbait)
| Feature | Real Journalism | Clickbait Journalism |
| Goal | To inform and analyze. | To generate traffic at all costs. |
| Headline | «Behemoth announces 2026 Spanish tour» | «Nergal reveals what no one expected about his next shows» |
| Content | Technical data, dates, context. | 3 paragraphs of filler; news at the very end. |
| Source | Original or verified interview. | «Rehashes» from other websites. |
V. The impact on the scene: The loss of trust
This is the point that worries me most. Clickbait isn’t harmless; it has serious consequences:
Reader Fatigue: Fans get tired of being tricked and stop reading metal news altogether, losing interest even in bands that are actually worth it.
Misinformation: Many people only read the headline and walk away with a false idea. This is how unfounded feuds between bands are born.
The Death of Analysis: Deep, 2,000-word reviews are no longer written because they «don’t perform.» Outlets prefer 10 pieces of 150-word trash news.
VI. How can we fight back?
As readers, you have more power than you think. In the digital world, the «vote» is the click.
Don’t click: If the headline hides the name, look for the news on an honest site.
Read the comments: Often, a «hero without a cape» will post the band’s name in the Facebook comments. Read it and keep scrolling.
Support niche media: Subscribe to newsletters or sites that run on donations or subscriptions, where the reader is the client, not the product.
The Atanathos resistance
At Atanathos, we have made a radical decision for 2026: We prefer a thousand real readers over a million accidental clicks. We will not hide names in titles. We will not invent fights between bands to earn a few euros in ad revenue. We believe extreme metal deserves extreme respect. Music is sacred, and treating it like a cheap commodity to feed a Silicon Valley algorithm is, quite simply, a betrayal of everything we stand for.
Metal journalism should be a mirror of the music: raw, direct, and uncompromising. If a band puts out a bad record, we’ll say it. If a band does something incredible, we’ll give you all the facts in the first paragraph. Because at the end of the day, when the servers go dark and the algorithms change, only the music and the truth we wrote about it will remain.







